Normal Distribution
Normal Distribution: Understanding the Foundation of Probability and Statistics
A normal distribution is one of the most fundamental concepts in statistics, often referred to as the Gaussian distribution. It is a continuous probability distribution that describes how data points tend to be symmetrically distributed around a central value, with most observations clustering around the mean, and fewer observations occurring as you move further away from the center.
Key Characteristics of Normal Distribution
Symmetry: The normal distribution is perfectly symmetrical around the mean. This means that the left half of the distribution is a mirror image of the right half, with the peak at the mean value. The symmetry ensures that the probability of observing a value below the mean is the same as observing a value above it.
Bell-Shaped Curve: The graph of a normal distribution forms a bell shape, also known as a Gaussian curve. The curve is highest at the mean and decreases as you move away from the center in either direction.
Mean, Median, and Mode: In a perfectly normal distribution, the mean, median, and mode are all the same value, located at the center of the distribution. This reflects the balance of the data around the mean.
Standard Deviation and Spread: The spread of a normal distribution is determined by its standard deviation (σ). A smaller standard deviation results in a narrower, taller curve, indicating that the data points are more closely clustered around the mean. A larger standard deviation creates a wider, flatter curve, indicating that the data points are more spread out.
68-95-99.7 Rule: A key feature of the normal distribution is the relationship between the mean and standard deviations, described by the 68-95-99.7 rule (also known as the empirical rule):
Approximately 68% of the data points fall within one standard deviation (±1σ) of the mean.
Approximately 95% of the data points fall within two standard deviations (±2σ) of the mean.
Approximately 99.7% of the data points fall within three standard deviations (±3σ) of the mean.
Asymptotic Nature: The tails of the normal distribution extend infinitely in both directions, approaching, but never quite reaching, the horizontal axis. This indicates that there are always some small probabilities for extreme values, although these are increasingly rare as you move further from the mean.
Mathematical Formula
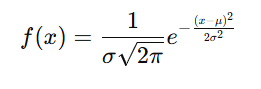
The probability density function (PDF) of a normal distribution is defined by the formula:
Where:
f(x) is the probability density function.
μ is the mean (the center of the distribution).
σ is the standard deviation (which determines the spread of the distribution).
x is the variable or observation.
e is Euler’s number, the base of the natural logarithm.
Importance of Normal Distribution in Statistics
Central Limit Theorem (CLT): One of the most powerful concepts in statistics is the Central Limit Theorem, which states that the sampling distribution of the sample mean will tend to follow a normal distribution as the sample size increases, regardless of the shape of the original population distribution. This is why the normal distribution is so prevalent in statistical inference, as many statistical tests and procedures assume that data is normally distributed or that large sample sizes will approximate normality.
Predicting Probabilities: Because the normal distribution is mathematically well-defined, it allows statisticians to calculate the probability of a specific observation falling within a particular range. This is done using standard normal distribution tables or, more commonly today, statistical software.
Regression and Hypothesis Testing: Many statistical methods, including linear regression and hypothesis testing (e.g., t-tests, z-tests), assume that the underlying data follows a normal distribution. This makes normal distribution a cornerstone for inferential statistics, as it provides a framework for testing hypotheses and making predictions.
Financial Modeling: In finance, the normal distribution is often used to model returns on investments or asset prices, despite the fact that financial data frequently exhibit fat tails (extreme outcomes are more likely than the normal distribution would predict). Nonetheless, normal distribution plays a key role in portfolio theory, risk assessment, and option pricing models.
Applications of Normal Distribution
Psychometrics: Many psychological tests, such as IQ tests, are designed to produce scores that follow a normal distribution, with the mean score set at 100 and a standard deviation of 15. This allows for meaningful comparisons of individuals' performance relative to the population.
Natural and Social Sciences: Many natural phenomena, such as the height of individuals, blood pressure, and measurement errors, follow a normal distribution. In the social sciences, variables like income, educational attainment, and certain social behaviors may approximate normality.
Manufacturing and Quality Control: In process control, engineers use the normal distribution to model variation in product dimensions and assess the quality of manufacturing processes. Tools like Six Sigma rely on the normal distribution to minimize defects.
Health and Medicine: In medical research, normal distribution is used to model variables such as blood cholesterol levels, heart rate, and other health metrics, allowing practitioners to understand and predict health outcomes.
Limitations of Normal Distribution
While the normal distribution is a useful model in many cases, there are situations where it may not be the best fit:
Skewed Data: If data is heavily skewed to one side, the normal distribution may not accurately represent the data. For example, income distribution often follows a log-normal distribution, where a majority of individuals earn lower wages, and a small percentage earn extremely high wages.
Heavy Tails: In some fields, particularly in finance and insurance, data may exhibit heavy tails (kurtosis), meaning that extreme events occur more frequently than predicted by a normal distribution. In these cases, other distributions, such as the t-distribution or Levy distribution, may be more appropriate.
Not Always the Best Fit: Just because data looks somewhat bell-shaped doesn’t mean it follows a normal distribution. Q-Q plots and Shapiro-Wilk tests are commonly used to test normality and determine if a dataset truly follows a normal distribution.
Conclusion
The normal distribution is a fundamental concept in statistics, providing the basis for much of statistical analysis, probability theory, and modeling. Its symmetrical, bell-shaped curve and clear relationship between the mean and standard deviation make it a powerful tool for understanding data, estimating probabilities, and making predictions. However, its assumptions may not always hold in real-world data, and statisticians should be cautious when applying it to data that exhibits skewness or extreme values. Nonetheless, the normal distribution remains central to many statistical methods and applications across various fields.

